
| Test | nonrecursive | t=1 | t=2 | t=3 | t=4 | t=8 | t=12 | t=16 | t=20 |
|---|---|---|---|---|---|---|---|---|---|
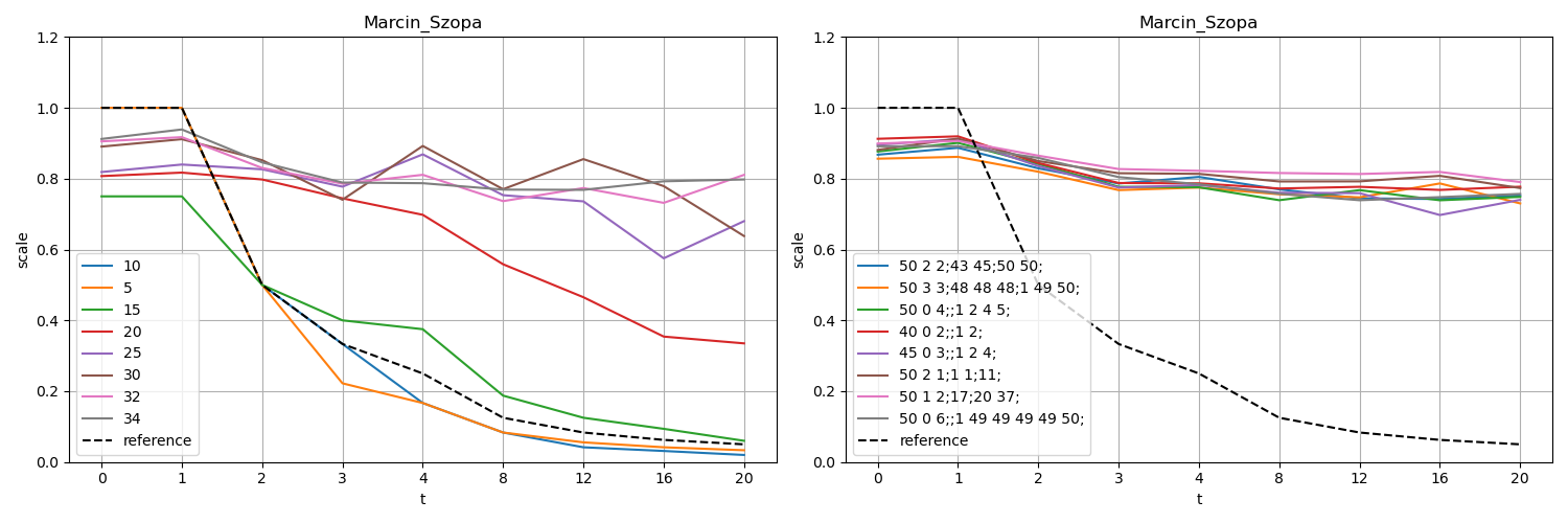
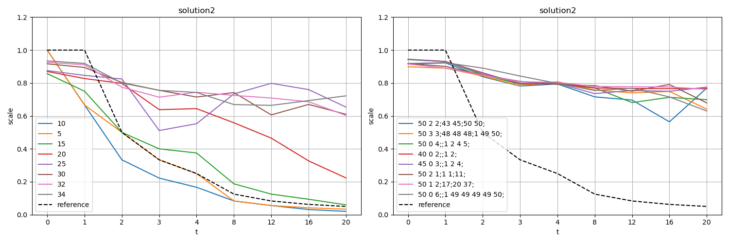
| 5 1 0 1 | 0.00s (scale=1.00) correct | 0.00s (scale=1.00) correct | 0.00s (scale=0.50) correct | 0.00s (scale=0.22) correct | 0.00s (scale=0.17) correct | 0.00s (scale=0.08) correct | 0.00s (scale=0.06) correct | 0.00s (scale=0.04) correct | 0.00s (scale=0.03) correct |
| 10 1 0 1 | 0.00s (scale=1.00) correct | 0.00s (scale=1.00) correct | 0.00s (scale=0.50) correct | 0.00s (scale=0.33) correct | 0.00s (scale=0.17) correct | 0.00s (scale=0.08) correct | 0.00s (scale=0.04) correct | 0.00s (scale=0.03) correct | 0.01s (scale=0.02) correct |
| 15 1 0 1 | 0.01s (scale=0.75) correct | 0.01s (scale=0.75) correct | 0.01s (scale=0.50) correct | 0.01s (scale=0.40) correct | 0.00s (scale=0.38) correct | 0.00s (scale=0.19) correct | 0.00s (scale=0.12) correct | 0.00s (scale=0.09) correct | 0.01s (scale=0.06) correct |
| 20 1 0 1 | 0.08s (scale=0.81) correct | 0.08s (scale=0.82) correct | 0.04s (scale=0.80) correct | 0.03s (scale=0.74) correct | 0.02s (scale=0.70) correct | 0.01s (scale=0.56) correct | 0.01s (scale=0.47) correct | 0.01s (scale=0.35) correct | 0.01s (scale=0.34) correct |
| 25 1 0 1 | 0.83s (scale=0.82) correct | 0.81s (scale=0.84) correct | 0.41s (scale=0.83) correct | 0.29s (scale=0.78) correct | 0.20s (scale=0.87) correct | 0.11s (scale=0.75) correct | 0.08s (scale=0.74) correct | 0.07s (scale=0.58) correct | 0.05s (scale=0.68) correct |
| 30 1 0 1 | 5.93s (scale=0.89) correct | 5.79s (scale=0.91) correct | 3.10s (scale=0.85) correct | 2.38s (scale=0.74) correct | 1.48s (scale=0.89) correct | 0.86s (scale=0.77) correct | 0.51s (scale=0.86) correct | 0.42s (scale=0.78) correct | 0.41s (scale=0.64) correct |
| 32 1 0 1 | 12.69s (scale=0.91) correct | 12.52s (scale=0.92) correct | 6.92s (scale=0.83) correct | 4.87s (scale=0.79) correct | 3.54s (scale=0.81) correct | 1.95s (scale=0.74) correct | 1.24s (scale=0.77) correct | 0.98s (scale=0.73) correct | 0.71s (scale=0.81) correct |
| 34 1 0 1 | 26.41s (scale=0.91) correct | 25.66s (scale=0.94) correct | 14.21s (scale=0.85) correct | 10.15s (scale=0.79) correct | 7.64s (scale=0.79) correct | 3.91s (scale=0.77) correct | 2.61s (scale=0.77) correct | 1.90s (scale=0.79) correct | 1.51s (scale=0.80) correct |
| 50 2 2 43 45 50 50 | 36.27s (scale=0.87) correct | 35.48s (scale=0.89) correct | 19.02s (scale=0.83) correct | 13.37s (scale=0.79) correct | 9.76s (scale=0.80) correct | 5.12s (scale=0.77) correct | 3.53s (scale=0.74) correct | 2.64s (scale=0.74) correct | 2.09s (scale=0.75) correct |
| 50 3 3 48 48 48 1 49 50 | 38.81s (scale=0.86) correct | 38.57s (scale=0.86) correct | 20.29s (scale=0.82) correct | 14.45s (scale=0.77) correct | 10.75s (scale=0.77) correct | 5.51s (scale=0.76) correct | 3.71s (scale=0.75) correct | 2.64s (scale=0.79) correct | 2.27s (scale=0.73) correct |
| 50 0 4 1 2 4 5 | 40.78s (scale=0.88) correct | 39.67s (scale=0.90) correct | 21.24s (scale=0.84) correct | 15.32s (scale=0.78) correct | 11.47s (scale=0.78) correct | 6.05s (scale=0.74) correct | 3.88s (scale=0.77) correct | 3.02s (scale=0.74) correct | 2.38s (scale=0.75) correct |
| 40 0 2 1 2 | 40.93s (scale=0.91) correct | 40.62s (scale=0.92) correct | 22.13s (scale=0.84) correct | 15.79s (scale=0.79) correct | 11.86s (scale=0.79) correct | 6.04s (scale=0.77) correct | 4.00s (scale=0.78) correct | 3.04s (scale=0.77) correct | 2.40s (scale=0.78) correct |
| 45 0 3 1 2 4 | 42.48s (scale=0.90) correct | 41.74s (scale=0.91) correct | 22.75s (scale=0.84) correct | 16.36s (scale=0.77) correct | 12.14s (scale=0.78) correct | 6.25s (scale=0.76) correct | 4.17s (scale=0.76) correct | 3.41s (scale=0.70) correct | 2.57s (scale=0.74) correct |
| 50 2 1 1 1 11 | 45.36s (scale=0.88) correct | 43.77s (scale=0.91) correct | 23.52s (scale=0.85) correct | 16.34s (scale=0.82) correct | 12.29s (scale=0.81) correct | 6.30s (scale=0.79) correct | 4.20s (scale=0.79) correct | 3.09s (scale=0.81) correct | 2.58s (scale=0.77) correct |
| 50 1 2 17 20 37 | 45.51s (scale=0.90) correct | 45.15s (scale=0.91) correct | 23.66s (scale=0.86) correct | 16.50s (scale=0.83) correct | 12.44s (scale=0.82) correct | 6.27s (scale=0.82) correct | 4.20s (scale=0.81) correct | 3.12s (scale=0.82) correct | 2.59s (scale=0.79) correct |
| 50 0 6 1 49 49 49 49 50 | 60.37s (scale=0.89) correct | 60.34s (scale=0.89) correct | 31.30s (scale=0.86) correct | 22.30s (scale=0.80) correct | 17.15s (scale=0.78) correct | 8.89s (scale=0.76) correct | 6.07s (scale=0.74) correct | 4.49s (scale=0.75) correct | 3.55s (scale=0.76) correct |